|
▲ 제1저자 신운섭 박사과정(왼쪽), 공동 교신저자 송상헌 교수 (사진=고려대) |
해당 연구 결과는 심리학 분야 최대 인용 국제전문학술지 ‘프론티어즈 인 사이콜로지(Frontiers in Psychology)’에 1월 27일 오후 4시(한국시간 기준) 온라인 판에 게재됐다.
최근 심층학습(Deep learning) 기반의 인공지능이 사람과 쉽게 구별하기 어려운 성능을 보여줌에 따라, 인공지능이 정말로 사람처럼 언어 구조를 이해하는지 인문학적 질문이 제기돼왔다. 예를 들어, 오픈 에이아이(OpenAI)가 공개한 인공지능 ‘ChatGPT’는 인간을 대신하여 연설문·신문기사를 매우 그럴듯하게 작성할 수 있지만, 종종 질문의 의도를 벗어난 틀린 답변을 반복하는 오류가 있다. 그러나 인공지능의 내부 작동 방식을 알 수 없다는 구조적 한계로 인하여 인공지능에게 다양한 입력값을 제시하고 출력값을 체계적으로 평가하는 것이 중요하다.
인공지능의 뛰어난 성능이 우연에 의한 것인지, 또는 자연어를 이해하기 때문인지 탐구하려면, 인공지능이 언어 고유의 규칙에 따라 사고하는지 판별할 수 있는 입력값을 제시하는 것이 필요하다.
|
▲ 그림1. 인공지능의 언어 능력 탐구에 사용된 장거리 의존 관계 문장 세트 |
|
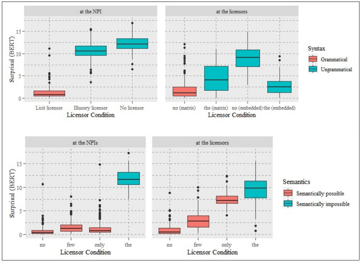
▲ 그림2. BERT의 부정극어 인허 처리 패턴 그림 |
신운섭 고려대 박사과정은 "인공지능을 실생활에서 매우 가깝게 접하기 때문에 사람과 인공지능의 관계에 대한 인문학적 질문은 늘상 제기돼왔다. 발표된 연구 성과는 인문학이 실생활과 괴리된 학문이 아니라 인공지능을 체계적으로 분석하는 과학적 방법으로써 인간과 인공지능의 이해를 풍부하게 할 것"이라고 기대했다.
지도교수인 언어학과 송상헌 교수는 "인문학을 전공한 순수 국내파 대학원생이 해외 유명 저널에 제1저자로 게재하는 것은 흔치 않은 일"이라며, "국내에서 연구한 성과가 해외에서 인정받아 더욱 의미가 있다."고 말했다.
이번 연구는 한국연구재단이 추진하는 4단계 BK21 언어학교육연구팀의 지원으로 수행됐다.
|
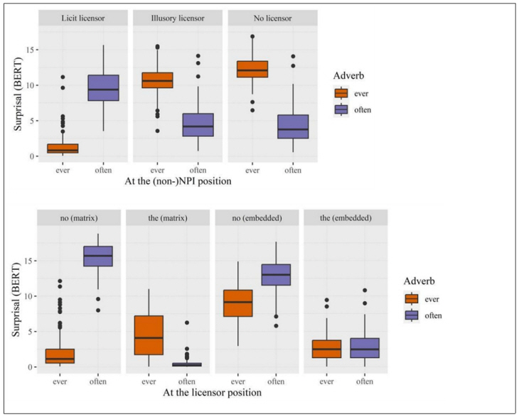
▲ 그림3. BERT의 부정 극어 ever와 빈도 부사 often의 언어 처리 패턴 비교 그림 |

![[은행 풍향계] 해외 안 가도 고액 선박 거래…부산은행, 에스크로 도입 外](http://www.ekn.kr/mnt/thum/202604/news-p.v1.20260420.a4e9ac7df4aa4a5f83488799d0cf2782_T1.jpg)








![[EE칼럼] 지구의 날, 다시 생각하는 환경의 의미](http://www.ekn.kr/mnt/thum/202604/news-p.v1.20240520.349b4b88641c421195241a2980f25719_T1.jpg)
![[EE칼럼] 배터리 산업의 승부처는 전력 시스템이다](http://www.ekn.kr/mnt/thum/202604/news-a.v1.20240624.cdc17f8be754410d913607a801efbb30_T1.jpg)
![[김병헌의 체인지] 이재명 대통령, 규제의 덫을 깨고 구조를 겨냥하다](http://www.ekn.kr/mnt/thum/202604/news-a.v1.20260413.00765baffddc4638b1f9e7157f67f3f4_T1.png)
![[이슈&인사이트] 호르무즈의 불길, 한국 통화정책을 옥죄다](http://www.ekn.kr/mnt/thum/202604/news-p.v1.20240318.a08eb2bb1b6148bdbbc5277847497cdf_T1.jpg)
![[데스크 칼럼] 주택시장 안정 ‘1주택자 잡기’로 해결 안 된다](http://www.ekn.kr/mnt/thum/202604/news-p.v1.20260418.114bdae9f57e4d3884007471c1cf48f5_T1.jpg)
![[기자의 눈] 플랫폼 수수료 인하, ‘소비자’ 빠져선 안 된다](http://www.ekn.kr/mnt/thum/202604/news-p.v1.20250707.4f068e7ca63e46c6836a2ff4bd234276_T1.jpg)

























